팜테크(FAMTECH)
[실습]SDOF 구조 FEA 계산, FRF 분석(Mass, Spring, Damper, Finite Element Analysis, Frequency Response Function) 본문
[실습]SDOF 구조 FEA 계산, FRF 분석(Mass, Spring, Damper, Finite Element Analysis, Frequency Response Function)
FAMTECH 2023. 8. 11. 11:12
목차
"관련제품 문의는 로고 클릭 또는 공지사항의 연락처를 통해 하실 수 있습니다."
SDOF, FEA, Mescope 소프트웨어
<SDOF>
SDOF는 "Single Degree of Freedom"의 약자로, 하나의 자유도(degree of freedom)를 가진 동적 시스템을 나타내는 용어입니다. 이는 구조 역학 및 진동 역학에서 자주 사용되며, 대부분 간단한 모델링에 적용됩니다.
"Mass-spring-damper" 시스템은 SDOF 시스템의 일종으로, 질량(mass), 스프링(spring), 그리고 댐퍼(damper)로 구성된 시스템입니다. 각 구성 요소의 역할은 다음과 같습니다
1. 질량 (Mass): 시스템의 질량을 나타냅니다. 질량은 시스템의 관성과 진동 특성을 결정합니다.
2. 스프링 (Spring): 시스템의 탄성을 나타내며, 변위에 따라 힘을 발생시키는 역할을 합니다. 스프링 상수(k)는 스프링의 강성을 나타내며, 변위당 발생하는 힘의 크기를 결정합니다.
3. 댐퍼 (Damper): 시스템의 감쇠를 나타내며, 속도에 비례하여 힘을 발생시키는 역할을 합니다. 댐퍼 상수(c)는 감쇠의 정도를 결정합니다.
이런 SDOF 시스템은 간단한 모델링을 통해 동적 시스템의 특성을 이해하는 데 도움이 됩니다. 질량, 스프링 상수, 댐퍼 상수 등의 매개 변수에 따라 시스템의 자연진동주파수, 감쇠비, 반응 등이 결정됩니다. 이러한 모델은 구조물의 진동이나 충격에 대한 응답을 예측하고 분석하는 데 사용될 수 있습니다.
<FEA>
SDOF FEA (Finite Element Analysis)는 구조 역학 및 진동 역학에서 사용되는 수치 해석 기술 중 하나로, 단일 자유도를 가진 시스템의 동적 응답을 분석하는 방법입니다.
일반적으로, SDOF FEA는 다음과 같은 단계로 진행됩니다.
1. 모델링: SDOF 시스템의 구성 요소인 질량, 스프링, 댐퍼를 포함한 유한 요소 모델을 작성합니다. 이를 통해 시스템의 질량, 강성, 감쇠 등의 물리적 특성을 모델링합니다.
2. 미분 방정식 설정: 시스템의 운동을 나타내는 미분 방정식을 설정합니다. 질량-강성-감쇠의 조합으로 이루어진 SDOF 시스템의 운동 방정식은 미분 방정식으로 표현됩니다.
3. 수치 해석: 설정된 미분 방정식을 수치적으로 풀어서 시스템의 응답을 예측합니다. 주로 유한요소 메소드를 사용하여 시간에 따른 변위, 속도, 가속도 등의 시간 응답을 계산합니다.
4. 응답 분석: 계산된 결과를 통해 시스템의 자연진동주파수, 감쇠비, 반응 등을 분석합니다. 이를 통해 시스템의 동적 특성을 이해하고, 외부 하중에 대한 응답을 예측할 수 있습니다.
SDOF FEA는 복잡한 다자유도 시스템을 다루는 것보다 간단하며, 초기 설계 단계에서부터 시스템의 진동 특성을 예측하는 데 유용합니다. 또한 각각의 구성 요소인 질량, 스프링, 댐퍼의 변화에 따른 시스템 응답을 분석하여 최적의 설계를 도출할 수 있습니다.
FEA의 1~4단계를 사람이 직접하는 것은 한계가 있습니다. 그렇기 때문에 소프트웨어 툴을 통해 위와 같은 분석을 개발 초기에 진행할 수 있습니다.
팜테크에서는 위 분석을 위한 Vibrant사의 Mescope를 제공하고 있습니다. 관심 있으시면 회사로고를 클릭 하시고 홈페이지에 접속하셔서 교육 및 제품에 대한 문의 주시면 됩니다.
[Mescope] SDOF 3D 모델에 FEA 값 입력

위 그림과 같이 이미 3D 도형을 만들었다고 가정하겠습니다. 구성은 매스, 스프링, 댐퍼 입니다.



위 그림과 같이 40Mass와 39BASE에 Spring, Mass, Damper의 FEA 값을 입력 합니다.
- Mass: 0.5kg
- Spring: 2N/mm
- Damper: 0.005N(mm/sec)
[Mescope] SDOF 3D 모델에 FEA 값 계산

위와 같이 FEA Mode를 계산 해줍니다. 해당 모드는 바닦이 고정된 Z 방향으로만 움직이는 SDOF 구조이므로 1개의 모드만이 존재 합니다. Rigid Body Offset은 공진 주파수 이하의 주파수 값으로 설정합니다.

위 계산식은 댐핑을 고려하지 않은 Mode 분석의 자연 주파수(Natural Frequency) 입니다.

위 수식은 Critical Damping에 대한 계산입니다.

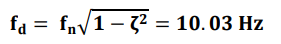
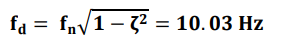
위 수식은 댐핑 값을 사용해서 댐핑을 고려한 공진 주파수(Resonance Frequency)를 구한 값입니다.
Mescope 내에서 FEA 계산을 실시하겠습니다.

그림과 같이 10Hz에서 공진 주파수를 찾았고 이때 댐핑은 7.91%로 나왔습니다. 앞서 계산과 동일한 결과를 만들어 냈습니다.

위 그림과 같이 Mode의 결과를 애니매이션 형태로 확인할 수 있습니다.
[Mescope] SDOF 3D 모델 FRF 분석
FEA계산으로 만들어낸 Shape Table에서 "Synthesize FRFs"를 실행합니다.

주파수 정밀도(Frequency Resolution)과 주파수 범위(Frequency Range)에 따라 샘플의 Block Size가 자동으로 결정됩니다. 이번 시험에서 확인하고 싶은 값은 Z축에 대한 값이므로 40Z에 대한 값을 확인 합니다.

위 그림과 같이 SDOF의 FRF 분석 그래프를 Magnitude와 Phase 형태로 얻을 수 있습니다.

