팜테크(FAMTECH)
[BlockSim]병렬 시스템 RBD 예제(Reliability Block Diagram (RBD), 신뢰성 블록 다이어그램Reliability, 신뢰도Weibull Distribution, 와이블 분포Characteristic Life (Eta), 특성 수명(에타)Shape Parameter (Beta), 형상 모수(베타)) 본문
[BlockSim]병렬 시스템 RBD 예제(Reliability Block Diagram (RBD), 신뢰성 블록 다이어그램Reliability, 신뢰도Weibull Distribution, 와이블 분포Characteristic Life (Eta), 특성 수명(에타)Shape Parameter (Beta), 형상 모수(베타))
FAMTECH 2025. 12. 22. 08:41
목차
"관련제품 문의는 로고 클릭 또는 공지사항의 연락처를 통해 하실 수 있습니다."
Parallel Systems RBD — 병렬 시스템 RBD 예제

이 예제는 병렬로 구성된 신뢰성 블록 다이어그램(Parallel Systems RBD)이 실제 참고 문헌에서 제시된 계산 결과와 동일한 신뢰도 값을 제공하는지 검증하는 데 목적이 있습니다. 이를 위해 동일한 전구를 여러 개 병렬로 배치한 조명 시스템을 가정하고, Weibull 분포 기반의 수명 특성을 적용한 뒤, 분석적 계산과 시뮬레이션 계산을 모두 수행합니다.
그 결과를 문헌의 이론적 해석과 비교함으로써 BlockSim이 병렬 시스템의 신뢰도를 정확하게 산출한다는 점을 확인하는 것이 이 예제의 핵심 목표입니다. 또한, 주어진 사용 시간 내에서 목표 신뢰도를 달성하기 위해 필요한 병렬 구성의 개수를 산정함으로써, 병렬 시스템 설계 시 신뢰도 향상을 위한 적절한 여분(redundancy) 계산 방법을 보여주는 데에도 목적이 있습니다.
참조 사례 (Reference Case)
이 데이터 셋은 Guangbin Yang 박사의 책 Life Cycle Reliability Engineering (John Wiley & Sons, 2007)의 예제 4.6 (73쪽)를 기반으로 합니다.
시스템 구성 및 가정 (Data)
- 조명 시스템(lighting system)이 세 개의 동일한 전구(bulb) 를 사용합니다.
- 이 전구들의 수명은 2-매개변수 Weibull 분포 를 따른다고 가정합니다. 매개변수는 η (eta) = 35,800 시간, β (beta) = 1.35 입니다. (BlockSim에서는 eta값으로 입력)
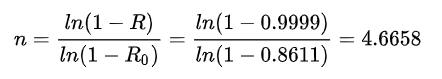
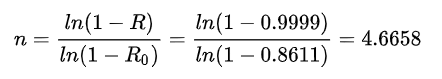
- 이 시스템이 8760시간 사용 후 어느 정도의 신뢰도(Reliability)를 갖는지를 구하고, 이 시점에서 시스템 신뢰도 99.99%를 달성하기 위해 얼마나 많은 전구를 병렬로 구성해야 하는지를 계산합니다.
결과 (Result)

- 전구 하나(single bulb)의 신뢰도는, Weibull 분포를 사용하여 계산됩니다.

- 이 값을 참조해, 책의 식(예: 식 4.11)을 사용하면 병렬 시스템 전체의 신뢰도 R을 다음과 같이 구할 수 있습니다.

- 이 식을 통해 계산한 결과, 8760시간 후 그리고 신뢰도 목표 99.99%를 만족하려면 최소 5개의 전구를 병렬로 연결해야 한다는 결론이 나옵니다.

BlockSim에서의 구현 및 검증 (Results in BlockSim)

- BlockSim 상에서는 이 조명 시스템을 RBD (신뢰성 블록 다이어그램)로 구성합니다. 각 블록이 전구 하나를 나타내며, 각 전구는 위에서 언급한 Weibull 분포(eta = 35,800시간, beta = 1.35)로 모델링됩니다.

- 분석 방법(Analytical Proof)을 통해, 8760시간 후의 시스템 신뢰도는 약 99.73%로 계산되었습니다. 이 값은 참조 문헌의 결과와 동일합니다.

- 또한, BlockSim의 “Allocation Analysis” 도구를 사용하면, 동일한 목표(8760시간 후 99.99% 신뢰도)를 만족하기 위해 필요한 전구 수를 산출할 수 있습니다. 이 분석에서는 “Equivalent Parallel Units”라는 개념을 통해, 병렬 단위의 수를 실수 형태로 계산하며, 이 값은 약 4.66518개였습니다. 즉 실질적으로는 5개의 병렬 전구가 필요하다는 결과가 나옵니다. 이 수치는 책에서 계산된 값과 매우 근접합니다.

- 시뮬레이션 방법(Simulation Proof)으로도 동일한 분석을 수행할 수 있습니다. 해당 설정으로 시뮬레이션한 결과, 8760시간 후 시스템의 “point reliability”(즉 특정 시점에서의 신뢰도)는 약 99.77%로 추정되었습니다


해당 내용과 관련해서 팜테크에서 시스템 솔루션을 제공하고 있습니다. 관심 있으시면 아래 홈페이지 또는 연락처를 통해 문의 주시면 됩니다. :)
https://famtech.co.kr/sub04/01_01.php
팜테크
진동센서, 진동시험기, 충격시험기, 쉐이커, 소음측정, 내구성 해석, Data Acquisition 취급. 팜테크
famtech.co.kr


