팜테크(FAMTECH)
변형률 종류: Lagrange tensor, Engineering Strain, Hencky Strain, Euler-Almansi(텐서, 로그) 본문
변형률 종류: Lagrange tensor, Engineering Strain, Hencky Strain, Euler-Almansi(텐서, 로그)
FAMTECH 2024. 7. 11. 08:58
목차
"관련제품 문의는 로고 클릭 또는 공지사항의 연락처를 통해 하실 수 있습니다."
변형률 종류: Lagrange tensor, Engineering Strain, Hencky Strain, Euler-Almansi
이번 내용은 DIC(Digital Image Correlation)으로 얻은 변형률 값을 분석 결과나 다른 측정 방법으로 얻은 변형률 값과 비교할 때 사용할 변형률 텐서를 선택하는 중요성에 대해 설명합니다.
DIC는 이미지를 이용해 물체의 변형을 측정하는 방법입니다. 변형률 텐서 선택의 중요성은 특히 큰 변형이 있을 때 더욱 두드러집니다. 작은 변형에서는 어떤 텐서를 선택하더라도 결과가 비슷할 수 있지만, 큰 변형에서는 다른 텐서를 선택하면 예상치 못한 결과를 얻을 수 있습니다.
Lagrange 텐서
- 정의: 그린-라그랑지안 변형률 텐서라고도 불리며, 원래의 형상 기준으로 변형을 정의합니다.
- 특징: 큰 변형을 포함한 고차 항을 포함하여 고무와 같이 큰 변형을 겪는 재료에 자주 사용됩니다.
- 주의사항: 큰 변형에서는 라그랑지안 변형률이 고차 항 때문에 공학적 변형률(Engineering Strain)보다 훨씬 커질 수 있습니다.

위 수식에서 제곱 성분이 고차항 변형입니다.
Engineering Strain (공학적 변형률)
- 정의: 변위의 도함수로부터 직접 계산하지 않으며, 임의의 강체 회전에 민감하지 않도록 라그랑지안 변형률 텐서로부터 계산됩니다.
- 특징: 강체 회전으로 인한 비논리적 변형률을 피하기 위해 사용됩니다.

라그랑지안 변형률 텐서는 변형 전의 형상을 기준으로 계산됩니다. 그러나 강체 회전이 있을 경우, 회전 자체는 실제로 변형을 일으키지 않지만 라그랑지안 변형률 계산에서 비논리적인 변형률 값이 나올 수 있습니다. 공학적 변형률은 이러한 요소를 제거 합니다.
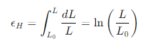
Hencky Strain (로그 변형률)
- 정의: 진변형률(True Strain), 자연 변형률(Natural Strain) 또는 로그 변형률(Logarithmic Strain)로도 불립니다.
- 특징: 점진적인 변형을 측정하는 방법입니다.

Euler-Almansi 텐서
- 정의: 변형된 형상 기준으로 변형을 정의하는 유한 변형률 텐서입니다.
- 특징: 변형된 형상 기준으로 변형을 계산합니다.
VIC-3D
팜테크에서 제공하는 VIC-3D 10은 앞서 설명한 변형률 텐서 측정을 완벽하게 지원합니다. 이를 통해 사용자는 다양한 변형률 텐서(Lagrange, Engineering, Hencky, Euler-Almansi)를 활용하여 재료의 변형을 정확하게 분석할 수 있습니다.
- Lagrange 텐서: 큰 변형을 포함한 고차 항을 통해 재료의 원래 형상 기준으로 변형을 측정합니다.
- 공학적 변형률: 라그랑지 변형률에서 유도된 변형률로, 강체 회전으로 인한 비논리적 변형률을 피할 수 있습니다.
- Hencky 변형률: 점진적인 변형을 측정하는 로그 변형률로, 비선형 변형을 다룰 때 유용합니다.
- Euler-Almansi 텐서: 변형 후의 형상을 기준으로 변형을 측정하여 현재 형상에서의 변형률을 나타냅니다.
VIC-3D 10을 사용하면 이러한 변형률 텐서를 손쉽게 계산하고, 데이터 후처리 과정에서 다양한 분석 기능을 적용할 수 있습니다. 이를 통해 연구자와 엔지니어는 복잡한 변형 분석을 보다 정확하고 효율적으로 수행할 수 있습니다.

해당 내용과 관련해서 팜테크에서 교육 프로그램, 측정/분석 용역, 장비를 제공하고 있습니다. 관심 있으시면 아래 홈페이지 또는 연락처를 통해 문의 주시면 됩니다. :)
https://famtech.co.kr/sub04/01_01.php
교육일정및신청(주)팜테크
education schedule 교육일정및신청 HOME > 교육 > 교육일정및신청
famtech.co.kr


