팜테크(FAMTECH)
피로 수명 EN 커브(Coffin-Manson-Basquin 공식, Strain, Fatigue Life, E-N Curve, 선도, 예측, 곡선) 본문
피로 수명 EN 커브(Coffin-Manson-Basquin 공식, Strain, Fatigue Life, E-N Curve, 선도, 예측, 곡선)
FAMTECH 2024. 4. 1. 08:57
목차
"관련제품 문의는 로고 클릭 또는 공지사항의 연락처를 통해 하실 수 있습니다."
피로 수명 EN 커브

피로 균열의 성장 과정
피로 균열은 두 단계 과정에서 발생하고 성장한다고 합니다. 초기 단계인 '1단계 균열'은 적용된 하중의 방향과 대략 45도 각도에서 성장하며, 이는 최대 전단 응력선을 따르는 경로입니다. 균열이 몇 개의 입계를 지나면 방향이 변경되어, 적용된 하중의 방향과 대략 90도 각도에서 성장하는 '2단계 균열'로 전환됩니다. 이러한 균열의 발달과 성장은 매우 국소화된 플라스틱 전단 변형에 의해 발생합니다.
SN 방법은 August Wöhler가 최초로 개발한 피로 분석 방법으로, 초기에는 이 두 단계 균열 성장 과정을 모르고 있었습니다. 전통적으로 SN 방법은 이 두 단계를 모두 포함합니다. 그 뒤 현대에 와서 각 단계가 다른 물리적 메커니즘을 포함한다는 것이 밝혀지면서, 1단계 균열 성장 시간을 계산하기 위해 EN 방법이 도입되었습니다. EN 방법은 응력(Stress) 대신 변형률(Strain)을 입력으로 사용하며, 피로를 유발하는 주된 요인으로 변형률을 더 적합한 입력으로 간주합니다.
피로 균열이 국소적인 응력 및 변형율에 의해 생성되고 성장한다는 개념에 기초합니다. 이는 피로 균열이 재료 내의 국소적인 조건에 크게 영향을 받는다는 것을 의미합니다.

EN Curve(변형율-수명 곡선)를 구하기 위해 응력과 변형률의 관계를 분석하는 과정에서 위 그림과 같이 "Cyclic Stress Curve"를 만들 수 있습니다. 이는 주기적 응력 상태 하에서 재료의 응력-변형률 관계를 나타내는 곡선입니다. 이 곡선은 재료가 반복적인 하중을 받았을 때 응력과 변형률 사이의 동적인 관계를 설명합니다. 여기서 중요한 점은 변형률이 응력과 달리 선형적으로 동작하지 않는다는 것입니다. 이러한 비선형적 변형률 동작을 이해하는 것이 EN Curve를 구성하는 데 필수적입니다.


단축(uni-axial) 주기적 응력-변형률 곡선은 Ramberg-Osgood 관계를 사용하여 모델링됩니다.
- K': cyclic strength coefficient
- n': cyclic hardening exponent
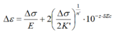
Coffin-Manson-Basquin 공식
EN Curve(변형율-수명 곡선)은 변형률이 주기별로 어떻게 변화하는지를 관찰하고 이를 적용하여, 최종적으로는 Coffin-Manson-Basquin 공식을 사용하여 EN Curve를 구할 수 있습니다.

- Coffin-Manson 부분: 이 부분은 저사이클 피로(LCF, Low Cycle Fatigue) 영역에서의 변형률과 수명 사이의 관계를 설명합니다. 여기서는 재료가 큰 변형률을 겪는 상황을 다룹니다.
- Basquin 부분: 이 부분은 고사이클 피로(HCF, High Cycle Fatigue) 영역에서의 응력과 수명 사이의 관계를 다룹니다. 여기서는 상대적으로 낮은 변형률을 겪는 상황을 설명합니다.
수식의 첫번째는 실제 SN 커브와 거의 유사하다고 볼 수 있습니다. 이는 High Cycle 수명 부분에 해당 하는 것으로 SN 커브를 따라 갑니다. 두번째 항목에 의해 Low Cycle 부분에 대한 수명 분석이 이뤄 집니다.

EN 커브의 특징은 SN 커브와는 달리 전체 수명에 대한 분석이 가능 합니다. 그리고 균열 끝에서 발생하는 소성 변형을 고려하여, 균열 성장을 보다 정확히 예측할 수 있습니다. 이는 소성 영역(Plasticity Area, Low Cycle)에서만 적용 됩니다.
피로 수명 분석 소프트웨어 nCode
Fatigue Life Prediction and Test-CAE Correlation

해당 내용과 관련해서 팜테크에서 교육 프로그램, 측정/분석 용역, 장비를 제공하고 있습니다. 관심 있으시면 아래 홈페이지 또는 연락처를 통해 문의 주시면 됩니다. :)
https://famtech.co.kr/sub04/01_01.php
교육일정및신청(주)팜테크
education schedule 교육일정및신청 HOME > 교육 > 교육일정및신청
famtech.co.kr


