팜테크(FAMTECH)
랜덤 진동 시험과 Kurtosis 설정(Random Vibration Test) 본문
목차
"관련제품 문의는 로고 클릭 또는 공지사항의 연락처를 통해 하실 수 있습니다."
랜덤 진동 시험과 Kurtosis 설정
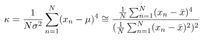
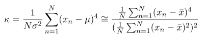
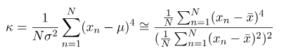
Kurtosis는 데이터 집합의 분포를 측정하는 통계적 지표 중 하나입니다. Kurtosis는 데이터의 뾰족함(peak) 정도와 꼬리(tail) 부분의 길이를 나타내며, 데이터가 얼마나 극단 값들에서 벗어나 있는지를 측정합니다.
Kurtosis를 수식은 아래와 같습니다..

수식은 복잡하지만 간단히 정리하면 4제곱으로 평균에서 벗어난 값의 크기를 알려줍니다.

Kurtosis의 값은 차원이 없으며, 정규 분포(Normal Distribution)를 따르는 경우에는 3이 됩니다. 이는 정규 분포가 일반적인 데이터 분포의 형태를 나타내는데, 데이터가 중심 부근에 모여 있고 뾰족한 정규 분포를 가질 때 나타납니다.
만약 Kurtosis의 값이 3보다 크다면, 데이터 분포는 뾰족한 정규 분포보다 뾰족하며, 꼬리 부분이 길어진다는 의미입니다. 반대로, 값이 3보다 작다면, 데이터 분포는 뾰족한 정규 분포보다 더 납작하며, 꼬리 부분이 짧아진다는 의미입니다. 위 그림과 같이 3일때는 일반적인 정규 분포 형태의 확률 밀도 함수 그림이지만 7로 증가할 경우 중심에서 벗어난 값의 크기가 커지게 됩니다.
요약해서 정리하면 커토시스는 데이터 분포의 모양을 설명하는데 사용되며, 값이 3보다 크면 뾰족한 분포를, 작으면 납작한 분포를 나타냅니다. 초과 커토시스는 정규 분포와의 차이를 더 자세히 측정하는 데 도움이 됩니다.
VibrationVIEW 랜덤 진동 시험과 Kurtosis 설정

그림은 팜테크에서 제공하는 진동 시험기 제어기(VR9500)의 소프트웨어(VibrationVIEW) 화면입니다. 해당 제품은 미국에서 개발하는 제품으로 랜덤 진동 시험 규격에 대한 다양한 설정을 지원 합니다.
Kurtosis라는 기능도 미국의 3대 자동차 회사 GM에서 나온 시험 규격으로 도로의 Pothole과 같은 갑작스러운 변화를 시험에 반영하기 위해 넣은 기능입니다.
설정 화면의 우측 하단에 Kurtosion이라는 기능으로 Kurtosis를 제공하고 있습니다.
관련해서 하드웨어/소프트웨어 문의 및 교육에 관심 있으시면 아래 로고 클릭 하셔서 홈페이지로 문의 주시면 됩니다.

