팜테크(FAMTECH)
[랜덤 진동 시험] 확률 구간과 신뢰 수준, PSD와의 관계(Random Vibration, Confidence Interval, Level) 본문
[랜덤 진동 시험] 확률 구간과 신뢰 수준, PSD와의 관계(Random Vibration, Confidence Interval, Level)
FAMTECH 2023. 9. 21. 09:18
목차
"관련제품 문의는 로고 클릭 또는 공지사항의 연락처를 통해 하실 수 있습니다."
확률 구간과 신뢰 수준(Confidence Interval, Level)이란?
확률 구간(Confidence Interval)은 랜덤 변수의 평균값과 같은 추정치를 계산할 때, 이 추정치의 가능한 오차를 나타내는 것입니다. 이러한 오차는 추정치의 신뢰 수준(Confidence Level)과 함께 평가됩니다.

신뢰 구간과 신뢰 수준은 함께 작용합니다. 더 높은 신뢰 수준을 원한다면, 추정치 주변에 더 넓은 구간이 필요하며, 낮은 신뢰 수준을 원한다면 더 좁은 구간이 사용됩니다.

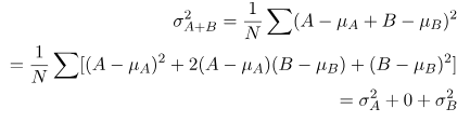
평균값의 합산(수식1): 먼저, 랜덤 변수 A와 B의 평균값을 합할 때, 그 합의 평균값은 각각의 평균값을 더한 것과 같습니다. 즉, A와 B의 평균값을 더하면 그 합의 평균값이 됩니다.

분산의 합산(수식2): 분산은 데이터의 흩어짐 정도를 나타내는데, 독립적인 랜덤 변수 A와 B를 합할 때, 그 합의 분산은 각 변수의 분산을 합한 값과 같습니다. 이 과정에서는 공분산(두 변수 간의 상호 영향)는 고려하지 않고 무시됩니다. 따라서, 합의 분산은 A의 분산과 B의 분산을 더한 값과 같아집니다.

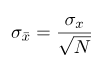
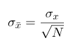
평균값의 표준 편차(수식3): 평균값을 계산한 후, 그 평균값의 정확성에 대한 표준 편차를 구할 때 사용합니다. N개의 랜덤 변수를 평균한 값의 분산은 N배의 원래 랜덤 변수의 분산과 같아집니다. 이때, 표준 편차는 분산의 제곱근으로 정의됩니다. 따라서, 평균값의 표준 편차는 원래 랜덤 변수의 표준 편차를 루트 N으로 나눈 값이 됩니다.
다시 정리하면 독립적인 랜덤 변수의 합의 평균값은 각 랜덤 변수의 평균값의 합이 되고, 합의 분산은 각 랜덤 변수의 분산의 합이 됩니다. 평균값의 표준 편차는 원래 랜덤 변수의 표준 편차를 루트 N으로 나눈 값으로 계산됩니다.
랜덤 진동 시험 PSD와 확률 구간의 관계

위 그림은 팜테크에서 제공하는 VR사의 Vibration Research 소프트웨어 화면입니다. 랜덤 진동 시험을 PSD(Power Spectral Density) 프로파일을 이용해서 제어하고 있습니다. 이때 화면의 하단이 확률 밀도 함수에 대한 그래프입니다.
확률 밀도 함수(PDF)가 0을 중심으로 표준 편차에 따라 신뢰구간을 생각할 수 있습니다. 통계적으로 해당 랜덤 진동이 Normal Distribution을 따른다고 가정을 하면 3시그마에 해당하는 값은 99.72%가 들어 가게 됩니다.
즉, 여기서 PSD를 중심으로 3시그마에 해당하는 값 이상의 진동이 들어올 확률이 0.28% 이하라고 추정할 수 있습니다. 이를 통해 진동 시험기를 사용하는 고객은 해당 프로파일과 진동 시험기(Vibration Tester, Shaker)의 성능을 비교해서 시험 가능 여부를 판별 할 수 있습니다.
관련해서 하드웨어/소프트웨어 문의 및 교육에 관심 있으시면 아래 로고 클릭 하셔서 홈페이지로 문의 주시면 됩니다.
'기초이론 > 동해석(진동,Vibration)' 카테고리의 다른 글
| 충격 진동 시험이란? (Shock Vibration Test, Tester, 진동 시험기) (0) | 2023.10.16 |
|---|---|
| Torque와 RPM을 사용하여 Power계산하기(Shaft, 토크, 파워, 스트레인게이지, 측정 장비) (0) | 2023.09.26 |
| [랜덤진동시험] 중심극한정리 이론이란? 랜덤 진동과의 관계(Central Limit Theorem, Random Vibration Testing) (0) | 2023.09.19 |
| 랜덤 진동 시험과 Kurtosis 설정(Random Vibration Test) (0) | 2023.09.07 |
| 랜덤 진동 시험과 가우시간 분포(Random Vibration Test, Gaussian Distribution, Normal) (0) | 2023.09.06 |


