팜테크(FAMTECH)
[랜덤진동]PSD에서 RMS 계산하는 방법(Power Spectral Density, Random Vibration) 본문
[랜덤진동]PSD에서 RMS 계산하는 방법(Power Spectral Density, Random Vibration)
FAMTECH 2023. 7. 10. 13:51
목차
"관련제품 문의는 로고 클릭 또는 공지사항의 연락처를 통해 하실 수 있습니다."
랜덤 PSD와 RMS
PSD (Power Spectral Density, 전력 스펙트럼 밀도): PSD는 랜덤 진동의 주파수 영역에서의 전력 분포를 나타내는 척도입니다. 주어진 시간 동안의 신호를 주파수로 변환하여, 각 주파수 대역에서의 전력 값을 계산합니다. PSD는 진동의 주파수 성분 및 강도를 표현하며, 주파수 대역별로 전력의 분포를 보여줍니다. 주로 FFT (Fast Fourier Transform)를 사용하여 계산됩니다.
RMS (Root Mean Square, 평균 제곱근): RMS는 랜덤 진동의 진폭을 나타내는 척도입니다. 주어진 시간 동안의 신호의 제곱 값을 평균한 후, 그 결과에 제곱근을 취한 값입니다. RMS는 진동의 크기를 나타내며, 진폭의 변동성을 측정하는 데 사용됩니다. RMS 값이 클수록 진폭이 크다는 의미입니다.
PSD와 RMS는 서로 다른 측정 방법으로 랜덤 진동을 설명합니다. PSD는 주파수 대역에서의 전력 분포를 나타내는 반면, RMS는 진폭의 크기를 나타냅니다. 따라서, PSD는 주파수 도메인에서 진동을 분석하는 데 사용되고, RMS는 진폭 도메인에서 진동을 평가하는 데 사용됩니다.
간단하게 설명하면 PSD 프로파일에서 면적에 해당하는 부분이 랜덤 진동의 RMS 값을 의미 합니다.
랜덤 PSD와 RMS 수식 및 예제 풀이

위 그림1과 같이 PSD 프로파일이 만들어져 있는 경우 RMS를 구해보도록 하겠습니다. 위 그래프는 직선으로 표기 되어 있지만 여기서 주의 해야할 부분은 PSD 그래프는 일반적으로 Log-Log 그래프로 표기 합니다. 그리고 위 그림도 실제로 로그로 표기 되어 있습니다.
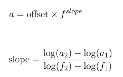
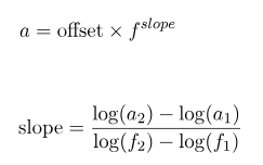
주파수 f1에 a1 점과 f2의 a2 점의 기울기를 구할 때 제곱 수식(Power Relationship)을 사용해서 아래와 같이 구할수 있습니다.

PSD 프로파일을 통해서 기울기와 Offset을 구할 수 있습니다. 이를 적분하면 아래와 같이 면적에 대한 정보를 얻을 수 있습니다.


그림1에서의 프로파일을 통해 기울기(Slope)과 Offset을 구하여 수식2를 통해 면적을 위와 같이 구할 수 있습니다.
'팜테크 제품 리뷰(Review) > Vibration Research(VR)' 카테고리의 다른 글
| ObserVIEW 진동/소리/모달 계측 분석 장비 소프트웨어 (0) | 2023.08.04 |
|---|---|
| [진동 시험기] 전력 증폭기란? (Power Amplifier, Vibration Shaker Tester) (0) | 2023.07.17 |
| [랜덤진동시험]PSD와 Averaging(Power Spectral Density, 평균화, Random Vibration Test) (0) | 2023.06.23 |
| [랜덤 진동 시험] 주파수 정밀도/해상도(Frequency Resolution)란?(PSD) (0) | 2023.06.19 |
| [랜덤 진동 시험] Leakage와 Windowing Function(누유 현상과 윈도우 처리, Random Vibration Test) (0) | 2023.06.08 |

