팜테크(FAMTECH)
FFT 와 DFT 관계 (Fast Fourier Transform vs Discrete Fourier Transform) 본문
FFT 와 DFT 관계 (Fast Fourier Transform vs Discrete Fourier Transform)
FAMTECH 2021. 11. 19. 12:01
목차
FFT(Fast Fourier Transform) 와 DFT(Discrete Fourier Transform) 정의
DFT(Discrete Fourier Transform)란?
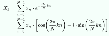
DFT(Discrete Fourier Transform) 은 이산 푸리에 변환이라고 합니다. 수식은 아래와 같습니다.

DFT는 N개의 복소수(Complex number)를 변환 합니다. 시간의 변화에 따른 온도값을 측정하였다고 생각해 보겠습니다. 여기서 시간 블록(Time block)으로 파형을 잘라서 임의의 샘플링 개수에 맞춰서 DFT를 사용해서 푸리에 변환을 시도합니다.
DFT의 발전 과정은 컴퓨터의 디지털 신호를 주파수 영역으로 변환하기 위해 개발되었습니다.
FFT(Fast Fourier Transform)란?
FFT는 DFT를 실행하는 컴퓨터 알고리즘으로 생각하면 됩니다. 이전에는 컴퓨팅 파워가 부족할 경우 DFT를 간소화 하거나 샘플링 수를 줄여서 진행하였지만 컴퓨팅 파워가 발전한 지금은 DFT가 FFT라고 볼 수 있습니다. FFT는 결국 컴퓨터 구조와 효율에 따라 DFT를 효율적으로 운용하는 알고리즘입니다.
컴퓨터 파워를 효율적으로 사용하기 위해 2의 지수(2, 4, 8, ...1024)로 시간 블락(Time block)에서 샘플링 하는 것을 추천 합니다.
FT(Fourier Transform) 특징

위 수식은 cosine과 sine의 식입니다. (참고로 지수 적분은 아래 수식과 같습니다. 푸리에 변환때 사용하시면 됩니다.)

위 수식을 FT 하게되면 아래 그림처럼 주파수는 음수와 양수에서 나옵니다.


이는 파형이 음수와 양수로 계속 되기 때문에 주파수도 음의 영역과 양의 영역으로 나옵니다. DFT와 FFT에서도 이러한 현상은 동일하게 적용 됩니다. 다만 분석기는 일반적으로 음수 영역을 표기 하기 않고 양수만 표기합니다.
'기초이론' 카테고리의 다른 글
| [Frequency]Decade, Octave 란? 계산 방법 (0) | 2022.02.24 |
|---|---|
| NVH(Noise, Vibration, Harshness)란? (0) | 2021.12.10 |
| 주파수 디지털 필터란? (Frequency Digital Filter, Pass filter, Roll-off) (0) | 2021.12.08 |
| 진동 전달률(Vibration Transmissibility) 이란? (0) | 2021.12.01 |
| 푸리에 변환이란, 수식, 특징 정리 (Fourier transform) (0) | 2021.11.18 |

