팜테크(FAMTECH)
Wheatstone Bridge란?(휘트스톤 브릿지, 스트레인게이지, 풀/하프/쿼터 브릿지, Strain) 본문
Wheatstone Bridge란?(휘트스톤 브릿지, 스트레인게이지, 풀/하프/쿼터 브릿지, Strain)
FAMTECH 2022. 7. 18. 10:41
목차
"관련제품 문의는 로고 클릭 또는 공지사항의 연락처를 통해 하실 수 있습니다."
Wheatstone Bridge(휘트스톤 브릿지)란?

윗스톤 또는 휘트스톤 브릿지라고 불리는 회로는 위와 같은 구조로 되어 있습니다. Samuel Hunter에 의해 처음으로 고안되었고 Charles Wheatstone이 1843년에 업데이트해서 현재 사람들이 사용하는 형태로 변경하면서Wheatsone의 이름을 따서 해당 브릿지 회로도가 만들어 졌습니다.
변형률 측정에서의 Wheatstone Bridge 용도
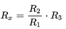
Wheatstone Bridge의 주요 목적은 위 그림에서 Rx 저항을 측정하기 위함입니다. 진동, 내구에서 스트레인 게이지(Strain Guage)를 사용해서 변형률을 측정할 때 스트레인 게이지 내부의 저항 값의 변화로 측정 합니다. 이때 저항값을 측정하기위해 Wheatstone Bridge 회로도가 필요 합니다.
Wheatstone Bridge(휘트스톤 브릿지) 동작 방법 및 수식
위 그림에서 Vg는 Galvanometer(갈바노미터, 검류계)입니다. Galvanometer(갈바노미터, 검류계)는 미세 전류, 전압 등 전력을 측정하는 장치로 AC, DC에 대한 측정이 가능 합니다.
1. 검류계(Vg)로 전류값 측정
2. R2의 저항값을 변경해서 검류계(Vg)의 전류가 0인 지점 찾기
3. 전류가 0인 의미는 전위(Voltage)가 동일하므로 B, D 점은 동일 전위임
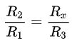
위와 같이 동일 전위를 통해 저항비가 아래와 같이 나올 수 있음을 알 수 있습니다.


스트레인 게이지(Strain Gage)와 풀브릿지(Full Bridge)
이번 내용은 풀브릿지 형태로 스트레인 게이지를 연결해서 변형율(Strain Rate)를 확인하는 방법에 대해 알아보겠습니다.
풀브릿지(Full Bridge)이 외에 하프(Half), 쿼터(Quarter) 브릿지로 스트레인 게이지와 연결해서 사용할 때의 특성 및 장단점 그리고 각 센서의 사용 방법에 대해 공부하고 싶으시면 팜테크에서 제공하는 오프라인 교육을 신청해서 수강하시면 됩니다.

풀브릿지와 스트레인 게이지 배치는 위와 같습니다. 그림과 같이 4개의 스트레인 게이지를 연결하고 1, 3번 게이지와 2,4번 게이지가 같은 방향으로 휠 수 있게 설치 합니다.
전압비로 수식을 아래와 같이 전계 할 수 있습니다.

최종적으로 변형률(ε) 은 아래와 같이 표현 됩니다.
ε = Vo/(Vs x Gauge Factor)
'기초이론 > 내구(Endurance)' 카테고리의 다른 글
| [Strain Guage]스트레인 게이지 2선식, 3선식 온도 보상(two wire, three wire) (1) | 2022.08.24 |
|---|---|
| 스트레인 게이지란? 패턴에 따른 분류(Strain Guage, Gage) (0) | 2022.08.23 |
| Stress Life (SN) 피로도 분석이란? (Fatigue Damage Analysis) (0) | 2022.07.06 |
| HALT, HASS 시험이란? (Highly Accelerated Life Test, Highly Accelerated Stress Screen) (0) | 2022.03.22 |
| [Environmetal Chamber]환경 챔버 선택 가이드 (항온 항습) (0) | 2022.03.21 |


