팜테크(FAMTECH)
[ObserVIEW]전달함수(Transfer Function)란? 실습 본문
[ObserVIEW]전달함수(Transfer Function)란? 실습
FAMTECH 2022. 3. 14. 15:49
목차

"관련제품 문의는 로고 클릭 또는 공지사항의 연락처를 통해 하실 수 있습니다."
전달 함수(Transfer Function) 정의(Definition)

전달 함수 H(f)는 입력 값 x와 출력 값 y의 비율입니다.
H(f) = Y(f) / X(f)
X(f)는 x(n)의 푸리에 변환(Fourier Transform) 값이고 Y(f)는 y(n)의 푸리에 변환(Fourier Transform) 값입니다.
H가 LTI(Linear Time Invariant, 선형 시불변)일때, 주파수 f값을 가지는 입력값 x(t) = A1sin(2πft+ϕ1)을 시스템에 넣으면 출력은 동일 주파수 y(t) = A2sin(2πft+ϕ2) 의 신호가 나 옵니다. (A1≠A2 and ϕ1≠ϕ2)
수학적으로 사인 신호는 선형 전달함수 H의 Eigenvector 입니다.
True Transfer Funtion 의 한계

True H 값을 구할 수 없다.
- 실제 환경은 Linear 하지 않음
- 실제 환경은 시간에 따라 변함 (Time Variant)
- 실제 환경에는 Noise 존재 (그래프의 w, v 성분)
근사치 전달 함수 구하기
True Transfer Function을 구할 수는 없지만 추정치(Estimator)를 사용해서 근사값을 구할 수 있습니다.

Ŝyx(f) which is an estimate of the CSD(Cross Spectral Density) of y and x.
Ŝxx(f) which is an estimate of the PSD(Power Spectral Density) of x.
Ŝyy(f) which is an estimate of the PSD(Power Spectral Density) of y.
CSD, PSD에 내용은 링크의 포스트를 참조하시길 바랍니다. (https://famtech.tistory.com/96 https://famtech.tistory.com/96)
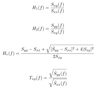
Estimator에 따른 특징
- H1 : 입력 측정 Noise가 적을 경우 사용, Noise가 입출력 모두 없을 경우에도 사용
- H2 : 출력 측정 Noise가 적을 경우 사용
- Hv : H1 < Hv < H2
- Txy : H1, H2의 기하평균(Geometric mean)의 크기(Magnitude)임, Txy = |root(H1H2)|
전달 함수(Transfer Function) 실습
아래는 ObserVR1000 DAQ 장치를 사용해서 200Hz에서 사인 진동 (Sine Vibration) 하는 진동 시험기 위에 가속도 센서 Ch1을 시편에 가속도 센서 Ch2를 설치 하고 가속도를 측정해서 ObserVIEW 소프트웨어로 분석한 내용 입니다.

제일 상단의 그래프는 시간 도메인(Time Domain)의 Waveform이고 아래는 FFT(Fast Fourier Transform)이고 다음은 Transfer Function 그래프 입니다.
두 신호 모두 200Hz 사인파로 전달함수는 Flat 하게 나옵니다.
아래는 전달 함수 설정 화면 입니다.

Property 값은 Sample rate와 Frequency line 수에 의해 결정 됩니다. Window Function은 Welch's method를 전개하면서 시간 도메인에서 발생하는 Noise를 줄여 줍니다. Window에서 줄어든 값을 회복하기 위해 Overlap을 사용 합니다. DOF는 전달 함수 처리를 위한 Spectral Density 생성에 사용 됩니다. Algorithm은 앞서 estimator 설정에 사용 됩니다.
'팜테크 제품 리뷰(Review) > Vibration Research(VR)' 카테고리의 다른 글
| [VibrationVIEW]Fatigue Damage Spectrum의 m, q 값 (FDS) (0) | 2022.04.04 |
|---|---|
| [VibrationVIEW]Sine on Sine 진동 시험(SOS Vibration) (0) | 2022.04.04 |
| [ObserVIEW] CSD 란(Cross Spectral Density, Correlation)? 실습하기 (0) | 2022.03.14 |
| [ObserVIEW] PSD / ASD 란(Correlation)? 실습하기 (0) | 2022.03.11 |
| [ObserView] Octave 분석이란? 실습(ObserVR1000) (0) | 2022.03.11 |
