팜테크(FAMTECH)
음압(SPL),소리세기(SIL), 데시벨에 따른 소리 크기 비교 본문
목차
소리 압력, 음압(Sound Presure Level) 이란?
소리의 크기를 측정할 때 소리의 힘의 세기 즉, 소리에서 발생하는 압력(Pressure)로 측정할 수 있습니다. 소리는 사람의 귀에 고막을 울려서 전달합니다. 그러므로 압력의 크기에 따라 소리에 강도가 정해 집니다.
마이크로폰이 음압을 측정하는 방식도 마이크로폰 앞단의 다이아프램(Diaphram)이 고막과 같은 역할을 하여 음압을 측정 합니다.

위 수식에서 P0은 1kHz에서 사람이 인지할 수 있는 가장 작은 압력인 20uPa을 기준으로 합니다.
사람의 귀는 Decibel 크기로 소리를 인지 압니다. 예를 들어 100과 200의 소리 압력차이와 1000과 2000의 소리 압력차이를 인지하는 정도가 비슷하게 느낌니다. 그래서 위 수식처럼 dB로 소리를 표기 합니다. 하지만 데시벨을 사용하기 때문에 실제로 소리의 크기는 20dB 당 10배 차이가 있습니다. (에너지의 경우 10dB 당 10배)


소리 세기, 음세기 강도(Sound Intensity Level) 이란?
조용한 숲속에서는 잎을 밟는 바스락 소리도 쉽게 들을 수 있습니다. 하지만 공사 현장에서나 소음이 심한 지역에서는 옆에 사람의 소리를 알아 듣기가 힘듭니다.
이처럼 사람은 소리의 세기를 인지하고 있습니다. 높은 소음은 사람의 청력에 좋지 않습니다. 소음에 오래동안 노출되면 청력이 점차적으로 약해지게 됩니다. 이처럼 청력은 소리를 들을 수 있는 범위보다는 소리의 강도(intensity)와 관련되어 있습니다.
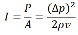
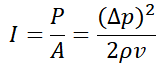
소리의 강도를 나타내는 수식은 아래와 같습니다.

I는 Intensity이고 Power 를 면적(A)로 나눈 값입니다. delta P는 압력(Pressure)값의 변동량이고 ρ 는 매질의 밀도를 의미하고 v는 소리의 속도 입니다. 결국 소리의 세기는 음원과 측정지점 사이 매질(ex, 공기)과 음압의 세기와 측정지점의 면적에 의해 결정 됩니다.
앞서 음압을 dB로 표기한 이유처럼 Intensity도 dB로 표기 합니다.

SIL을 일반적으로 베타로 표기합니다. I0는 10^-12 W/m^2 로 1kHz에서 사람이 들을 수 있는 가장 작은 강도로 앞서 수식으로 구합니다.
| 소리세기레벨 (dB) | Intensity(W/m2) | 예제 |
| 0 | 1 × 10^–12 | 1khz에서 인지 시작점 |
| 10 | 1 × 10^–11 | 잎 구르는 소리 |
| 20 | 1 × 10^–10 | 1m 거리서 속삭임 |
| 30 | 1 × 10^–9 | 조용한 집 |
| 40 | 1 × 10^–8 | 일반 집 소음 |
| 50 | 1 × 10^–7 | 일반 사무실 |
| 60 | 1 × 10^–6 | 보통 대화 소리 |
| 70 | 1 × 10^–5 | 시끄러운 사무실 |
| 80 | 1 × 10^–4 | 수업 중 소음 |
| 90 | 1 × 10^–3 | 중장비 내부 소음 |
| 100 | 1 × 10^–2 | 공장 소음 |
| 110 | 1 × 10^–1 | 하루 30분 씩 노출 시 청력에 문제 발생시키는 시점 |
| 120 | 1 | 락 콘서트 소음 |
| 140 | 1 × 10^2 | 30미터에서 제트기 소음 |
| 160 | 1 × 10^4 | 고막 파손 |
'기초이론 > 소음 음향(Noise, Sound)' 카테고리의 다른 글
| [Sound]소리의 Phon, Sone란? (Loudness) (0) | 2021.12.21 |
|---|---|
| 사운드 주파수 가중치, dBA란? (A weighting, B,C,D,G, Z) (0) | 2021.12.20 |
| 음장(Sound Field)이란? (Near, Far, Free, Diffuse, Reverberant) (0) | 2021.12.16 |
| Sound Power, Intensity, Pressure (음력, 음압, 소리세기) (2) | 2021.12.16 |
| 소리를 구성하는 3가지 요소(Element) (0) | 2021.12.16 |
