팜테크(FAMTECH)
진동 설계 공진과 "2의 법칙"(Vibration Test, Natural Frequency, Resonance, Q factor, Damping, 댐핑, FRF, Frequency Response Function) 본문
진동 설계 공진과 "2의 법칙"(Vibration Test, Natural Frequency, Resonance, Q factor, Damping, 댐핑, FRF, Frequency Response Function)
FAMTECH 2025. 2. 5. 08:14
목차
"관련제품 문의는 로고 클릭 또는 공지사항의 연락처를 통해 하실 수 있습니다."
제품 설계 시 진동은 매우 중요한 고려 사항입니다. 특히, 제품이 작동 중이거나 특정 환경에서 발생하는 진동은 제품의 성능 저하나 수명을 단축시킬 수 있습니다. 이러한 문제를 해결하기 위해 제안된 설계 지침 중 하나가 바로 "2의 법칙(Factor of 2 Rule)"입니다. 이 법칙은 공진으로 인한 잠재적 손상을 방지하기 위한 간단하지만 효과적인 방법을 제공합니다.

공진(Resonance)이란 제품의 고유 진동수(Natural Frequency)가 외부에서 가해지는 진동 주파수와 일치할 때 발생하는 현상입니다. 이때 외부 에너지가 제품에 극대화된 형태로 전달되며, 진폭이 크게 증가하고, 이로 인해 피로 축적이 가속화되어 제품의 구조적 손상을 초래할 수 있습니다. 이러한 공진은 자동차 부품, 항공기 전자기판, 건축 구조물 등 다양한 제품에서 발생할 수 있습니다. 따라서, 설계 단계에서 공진 문제를 예방하는 것이 필수적입니다.
2의 법칙은 설계 시 공진으로 인한 문제를 예방하기 위한 보수적인 지침으로, 제품의 고유 진동수를 작동 주파수로부터 최소 두 배 이상 떨어지게 설계해야 한다고 명시합니다. 고유 진동수와 작동 주파수 간의 충분한 간격은 외부 진동 에너지가 제품에 전달되는 비율을 줄이고, 진폭 증가를 효과적으로 억제합니다. 예를 들어, 항공기 내부의 전자기판은 운용 주파수보다 두 배 이상 높은 고유 진동수를 가지도록 설계하면 공진으로 인한 손상을 줄일 수 있습니다.
또한, 감쇠(Damping)는 공진 방지에서 중요한 역할을 합니다. 감쇠는 제품이 외부 충격 이후 평형 상태로 돌아가는 속도를 결정하며, 임계 감쇠(Critically Damped), 과도 감쇠(Overdamped), 부족 감쇠(Underdamped)의 세 가지로 구분됩니다. 임계 감쇠는 제품이 진동 없이 빠르게 안정화되는 상태를 의미하며, 자동차의 충격 흡수 장치나 문 클로저 같은 예에서 찾아볼 수 있습니다. 과도 감쇠는 진동 없이 천천히 안정화되는 상태로, 산업용 문 클로저나 지진계에서 자주 사용됩니다. 부족 감쇠는 진동이 점차 감소하면서 안정화되지만, 고유 진동수에서 공진이 발생할 경우 큰 진폭이 나타날 위험이 있습니다. 자동차 서스펜션과 기타 줄의 진동은 부족 감쇠의 예입니다.
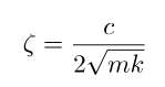
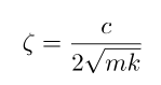
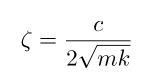
실제로 대부분의 시스템은 어느 정도 감쇠를 가지고 있으며, 이 감쇠 수준은 품질 계수(Quality Factor, Q)로 측정됩니다. Q 값이 높을수록 감쇠가 낮고 공진에 민감하며, Q 값이 낮을수록 공진 효과가 약해집니다. "2의 법칙"은 이러한 Q 값이 높은 시스템에서도 공진 위험을 최소화하기 위해 설계된 지침입니다.

마지막으로, 제품 설계에서는 모드 모양(Mode Shape) 분석, 진동 감쇠 특성이 높은 소재 선택, 피로 손상을 예측하는 시뮬레이션(Fatigue Damage Spectrum) 활용 등도 중요한 역할을 합니다. 이를 통해 공진 위험을 사전에 파악하고, 설계를 최적화할 수 있습니다.
2의 법칙의 수학적 기반: 주파수 응답 함수(FRF)와 감쇠된 조화 진동자

"2의 법칙"은 공진을 방지하고 진동 문제를 최소화하기 위한 설계 지침입니다. 이를 이해하려면 주파수 응답 함수(Frequency Response Function, FRF)와 감쇠된 조화 진동자(Damped Harmonic Oscillator)의 동작 원리를 알아야 합니다.
주파수 응답 함수(Frequency Response Function, FRF)
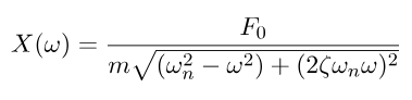
주파수 응답 함수(FRF)는 시스템이 다양한 주파수에서 입력 신호에 어떻게 반응하는지를 나타냅니다. 이는 다음 정보를 제공합니다.





- 시스템의 진폭 반응: 주파수에 따른 출력 진폭의 변화.
- 시스템의 위상 반응: 입력 신호와 출력 신호 간의 위상 차이.
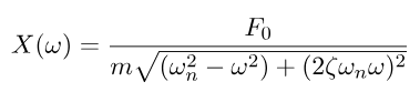
- FRF는 시스템의 운동 방정식으로부터 도출되며, 외부 강제력(𝐹0), 질량(𝑚), 자연 진동수(𝜔𝑛), 감쇠 비율(𝜁), 그리고 주파수(𝜔)를 포함합니다.
특히, FRF는 시스템의 전달성(Transmissibility)을 계산하는 데 유용합니다. 전달성은 특정 주파수에서 출력 응답과 입력 응답의 비율을 나타내며, 공진을 분석하는 데 핵심적인 역할을 합니다.
해당 내용과 관련해서 팜테크에서 시스템 솔루션을 제공하고 있습니다. 관심 있으시면 아래 홈페이지 또는 연락처를 통해 문의 주시면 됩니다. :)
https://famtech.co.kr/sub04/01_01.php
팜테크
진동센서, 진동시험기, 충격시험기, 쉐이커, 소음측정, 내구성 해석, Data Acquisition 취급. 팜테크
famtech.co.kr
