팜테크(FAMTECH)
[수식 정리]Sound Pressure, Velocity, Intensity, Power (Noise, 음향 카메라, Sound Camera, Microphone, Pascal, dB) 본문
[수식 정리]Sound Pressure, Velocity, Intensity, Power (Noise, 음향 카메라, Sound Camera, Microphone, Pascal, dB)
FAMTECH 2024. 5. 24. 09:27
목차
"관련제품 문의는 로고 클릭 또는 공지사항의 연락처를 통해 하실 수 있습니다."
Sound Pressure
음압의 기본 단위는 파스칼로 표현 합니다.
1 Pa (Pascal)
음압의 dB 표기는 아래와 같습니다.

Peff는 측정 값으로 아래와 같이 RMS로 측정 합니다.

인지 임계치 (perception threshold)
- Pmin는 평균적인 인간의 귀가 인지할 수 있는 최소한의 소리 압력을 나타냅니다.
- 이 최소 압력은 P0로 표기되며 20 µPa (마이크로파스칼)입니다.
- 이 값은 기준 압력 P0에 대해 0 dB(데시벨)로 표현됩니다.
통증 임계치 (pain threshold)
- Pmax는 인간의 귀에 통증을 유발하는 최대 소리 압력 수준을 나타냅니다.
- 이 압력은 100 Pa (파스칼)입니다.
- 기준 압력에 P0대해 데시벨로는 134 dB로 표현됩니다.
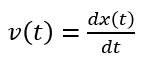
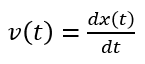
Sound Velocity
Sound particle velocity는 아래와 같이 표기 합니다.

- v: velocity
- x: deflection
- t: time
Sound velocity level은 아래와 같이 표기 합니다.

- Lv는 데시벨(dB) 단위로 표현된 소리 속도 레벨을 의미합니다.
- v는 측정된 유효 속도(Effective velocity)를 의미합니다.
- v0는 기준 속도(Reference velocity)입니다. DIN과 ISO 따른 기준 속도는 아래와 같습니다. 사람이 인지가 가능한 최소 속도를 기준으로 설정하였습니다.

음속은 온도에 영향을 많이 받습니다. 이에 따른 소프트웨어 적인 보정이 필요 합니다.

- : 공기 중의 음속 (m/s)
- 331.5: 0°C에서의 음속 (m/s)
- : 섭씨 온도 (°C)
- 273.15: 절대 온도로 변환하기 위해 더해지는 상수 (켈빈 변환을 위해 추가됨)
Sound Intensity
음파 강도 수식은 아래와 같습니다.
I = p x v
- p: pressure
- v: velocity
단위는 아래와 같이 변환 됩니다.

위 단위 변환은 아래의 뉴턴과 줄의 변환으로 전환이 가능 합니다.



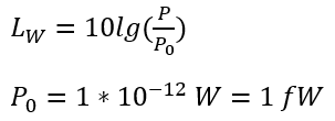
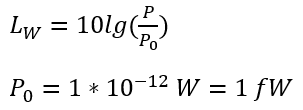
Sound Power
Sound Power 수식은 아래와 같습니다.
P = I x A
- I: Intensity
- A: Area
Sound Power Level은 아래와 같습니다.

Sound Impedance
소리 저항의 수식은 아래와 같습니다.

- ρ: density
- c: sound velocity
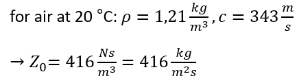
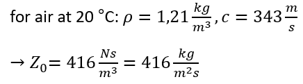
밀도 값의 경우 20도 상온에서의 공기 밀도와 그에 따른 저항은 아래와 같습니다.

음향 계측 관련 제품 소개



팜테크에서는 소음, Sound 분석 및 계측을 위한 덴마크 GRAS사의 마이크로폰(Microphone)과 독일 Gfai사의 음향카메라(Acoustic Camera)를 제공하고 있습니다. 제품에 관심 있으시면 아래 연락처 또는 홈페이지로 문의 주시면 됩니다.
해당 내용과 관련해서 팜테크에서 교육 프로그램, 측정/분석 용역, 장비를 제공하고 있습니다. 관심 있으시면 아래 홈페이지 또는 연락처를 통해 문의 주시면 됩니다. :)
https://famtech.co.kr/sub04/01_01.php
교육일정및신청(주)팜테크
education schedule 교육일정및신청 HOME > 교육 > 교육일정및신청
famtech.co.kr

