팜테크(FAMTECH)
Near field, Far field, 임계 반경이란? 특징 비교(Threshold radius, Acoustic Camera, Microphone) 본문
Near field, Far field, 임계 반경이란? 특징 비교(Threshold radius, Acoustic Camera, Microphone)
FAMTECH 2024. 5. 14. 09:32
목차
"관련제품 문의는 로고 클릭 또는 공지사항의 연락처를 통해 하실 수 있습니다."
Near-field (근거리)

Near-field에서는 소리 파동이 소스에서 모든 방향으로 구형으로 퍼져 나갑니다. 마치 연못에 돌을 던졌을 때 물결이 둥글게 퍼져 나가는 것과 비슷합니다. 소스와의 거리가 가깝기 때문에 소리의 강도가 측정 지점마다 크게 달라질 수 있습니다. 가까운 곳에서는 소리가 매우 크고, 조금만 멀어져도 소리가 급격히 약해질 수 있습니다.
여러 소리 소스가 있을 경우, 이들 소리 파동이 상호작용하여 복잡한 패턴을 형성합니다. 이로 인해 특정 지점에서 소리가 강화되거나 약해질 수 있습니다.
“Blind share” 현상: Near-field에서는 전파되지 않는 파동 성분이 존재합니다. 이로 인해 일부 소리 성분이 특정 지점에서 감지되지 않을 수 있습니다.
“Blind share” 현상?
마치 두 개의 물결이 서로 충돌하여 물결이 잠시 평평해지는 것과 비슷합니다. 물결이 서로 상쇄되어 특정 지점에서는 물결이 보이지 않는 것처럼, 소리도 상쇄되어 특정 지점에서는 들리지 않게 됩니다.
Near-field에서는 소리 파동이 구형으로 퍼지기 때문에 특정 방향으로 소리를 집중시키는 빔포밍 기술이 잘 작동하지 않습니다. 소리의 복잡한 파동 패턴을 정밀하게 분석하는 홀로그래피 기술은 근거리에서의 특성을 활용합니다. 이는 소리의 입체적인 모습을 시각화하는 데 유용합니다.
Far-field (근거리)

Far-field에서는 소리 파동이 평면처럼 일직선으로 퍼져 나갑니다. 마치 바람이 넓은 평지에서 일정하게 불어오는 것과 비슷합니다.
소리의 강도는 거리의 제곱에 반비례하여 감소합니다. 이는 거리가 두 배가 될 때마다 소리의 세기가 1/4로 줄어들거나, 6dB씩 감소하는 것을 의미합니다. 소리 파동들이 멀리 퍼져 나가면서 간섭 효과가 줄어들어, 여러 소리 소스가 있을 때도 소리의 혼란이나 왜곡이 적습니다. 소리의 압력 변화와 입자 속도 변화가 동기화되어, 위상 차이가 없어집니다. 이는 소리가 매우 규칙적으로 퍼져 나감을 의미합니다.
소리 파동이 평면으로 퍼지기 때문에 특정 방향으로 소리를 집중시키는 빔포밍 기술이 효과적으로 작동합니다. 이는 소리를 특정 위치로 정확하게 전달할 수 있게 해줍니다.
임계 반경 (Threshold radius)
임계 반경은 Near-field(kr << 1)와 Far-field (kr >> 1) 를 구분하는 지점입니다.
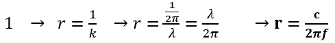
수식

- c: 소리의 속도
- f: 주파수

100 Hz에서의 근거리 한계 위치를 예제로 생각 해보겠습니다.
𝑟 = 𝑐 / (2𝜋𝑓) ≈ 55𝑐𝑚
따라서 100 Hz에서는 55 cm까지가 근거리 영역입니다. 주파수가 증가할수록 근거리 한계 반경은 줄어듭니다.

모든 배열은 일반적으로 원거리에서 작동합니다. 예외적으로 Nearfield Holography와 Intensity Paddle 같은 기술은 근거리에서 작동합니다.
음향 계측 관련 제품 소개



팜테크에서는 소음, Sound 분석 및 계측을 위한 덴마크 GRAS사의 마이크로폰(Microphone)과 독일 Gfai사의 음향카메라(Acoustic Camera)를 제공하고 있습니다. 제품에 관심 있으시면 아래 연락처 또는 홈페이지로 문의 주시면 됩니다.
해당 내용과 관련해서 팜테크에서 교육 프로그램, 측정/분석 용역, 장비를 제공하고 있습니다. 관심 있으시면 아래 홈페이지 또는 연락처를 통해 문의 주시면 됩니다. :)
https://famtech.co.kr/sub04/01_01.php
교육일정및신청(주)팜테크
education schedule 교육일정및신청 HOME > 교육 > 교육일정및신청
famtech.co.kr
'기초이론 > 소음 음향(Noise, Sound)' 카테고리의 다른 글
| Sound Intensity란? 수식 및 적용 방법(소음, 사운드, 음압, 세기, 오일러 방정식) (0) | 2024.05.17 |
|---|---|
| A, B, C Weighting 이란? (EN60651, Phon, 소음, 사운드, Noise, Sound, 주파수, 음향) (0) | 2024.05.16 |
| Windscreen이란? 마이크로폰, 음향 카메라(Microphone, Acoustic Camera) (0) | 2024.05.13 |
| [Sound]SLM과 LZeq(t), LAeq(t), LCeq(t)란?(Sound Level Meter, Weighting, 사운드 레벨 미터) (0) | 2023.09.01 |
| [SPL]Pascal을 dB로 변환하는 법(마이크로폰, 데시벨, 파스칼, Microphone) (0) | 2023.08.31 |


