팜테크(FAMTECH)
랜덤 진동과 Rayleigh 확률 분포(Random Vibration Test, Ditribution) 본문
랜덤 진동과 Rayleigh 확률 분포(Random Vibration Test, Ditribution)
FAMTECH 2022. 12. 28. 17:32
목차
"관련제품 문의는 로고 클릭 또는 공지사항의 연락처를 통해 하실 수 있습니다."
Rayleigh 확률 분포란?
레일레이 확률 분포(Probability Distribution)는 랜덤 진동 시험(Random Vibration Test)의 피로도(Fatigue) 분석에 사용되는 확률 분포 함수(PDF)입니다. 우선 통계에서의 레일레이 확률 분포(Probability Distribution)에 대해 알아보겠습니다.

통계학에서의 레일리 확률 분포는 두 개의 랜덤 변수(Random Variable)이 상호 독립이고 평균 값이 0이고 동일 분산을 가지고 정규 분포(Gaussian Distribution)을 따를 때 이들의 제곱 곱의 합에 루트를 씌우면 나오는 확률 분포를 의미 합니다. 아래 그림을 참조하시면 됩니다.

- 두 변수 X, Y가 상호 독립
- 평균(Mean)이 0
- 동일 분산(Variance)
- 정규 분포일 경우
Random Vibration Test과 Rayleigh 확률 분포

위 그림과 같이 캔터레벨 빔에 응답 가속도 측정을 위해 가속도 센서(Accelerometer)를 부착하고 응답 가속도(Response Acceleration)을 측정 하였습니다.
이때 입력 값은 가우시안 확률 분포를 따르는 랜덤 진동 시험 프로파일을 넣었습니다. 공진(Resonance) 응답을 가지는 시편(DUT)의 Peak Amplitude를 측정한 결과 Rayleigh Distribution을 따름을 확인하였습니다.

위는 실제 응답과 레일리 분포의 비교 그래프 입니다.
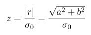
이러한 발견을 통해 John W Strutt는 Rayleigh 확률 분포 수식을 랜덤 진동에서 정립하였고 진동 가속도의 벡터 값 r을 통해 아래와 같이 수식을 작성하였습니다.


Rayleigh 확률 분포를 통해 피로 분석(Fatigue Analysis)을 빠른 시간에 정의할 수 있게 되었습니다.
Rayleigh 확률 분포 신뢰 구간(Confidence Interval)
피로 분석을 위한 신뢰 구간에 대한 값을 설정해야 합니다. 신뢰 구간은 아래와 같이 표준 편차(Standard Deviation)의 변수 크기에 따라 분류 됩니다.


랜덤 진동에서 시그마(σ)는 Peak Amplitude를 의미 합니다.
'팜테크 제품 리뷰(Review) > Vibration Research(VR)' 카테고리의 다른 글
| 충격 시험기의 종류와 특징(Shock Testing Machine) (0) | 2023.01.18 |
|---|---|
| 랜덤 진동 시험과 주파수 정밀도(Random Vibration Test, Frequency Resolution) (0) | 2023.01.04 |
| [VibrationView] Q factor 란? (공진, Bandwidth) (0) | 2022.10.20 |
| [진동시험 제어기] VR8500, VR9500, VR10500 비교 (장단점) (0) | 2022.08.18 |
| [VibrationVIEW]Fatigue Damage Spectrum의 m, q 값 (FDS) (0) | 2022.04.04 |


