Notice
Link
팜테크(FAMTECH)
계측용 마이크로폰의 동작 원리(Condenser Microphone) 본문
팜테크 제품 리뷰(Review)/GRAS(마이크로폰, Microphone)
계측용 마이크로폰의 동작 원리(Condenser Microphone)
FAMTECH 2022. 11. 21. 17:59
목차
"관련제품 문의는 로고 클릭 또는 공지사항의 연락처를 통해 하실 수 있습니다."
계측용 마이크로폰(Measurement Microphone)
현재 음향(Sound)과 산업계 전반에서 정밀한 소리를 측정하기 위해 계측용 마이크로폰을 사용 합니다. 현재 팜테크에서는 그라스(Gras) 마이크로폰을 제공 하고 있습니다.
실험실에서 사용하는 계측용 마이크로폰의 경우 대부분 콘덴서형 (Condenser Microphone)을 사용합니다.

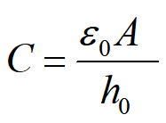
콘덴서 마이크로폰(Condenser Microphone)은 위와 같은 구조로 Capacitor의 전하량(Charge)에 의해 소리의 음압(Sound Pressure)를 측정 합니다.


위와 같이 일정 접압(Voltage)가 공급될 때 두 판의 거리의 변화에 의한 캐패시턴스(C)가 변화할 때 전하(Q)를 측정하여 SPL을 구하게 됩니다.
콘덴서 마이크로폰의 구조 및 동작

앞서 설명한 두개의 판 역할을 하는 것이 위 그림에서 Diaphragm과 Backplate 입니다. 마이크로폰 앞단에 Protection Grid를 통과한 음압이 Diaphragm을 흔들어 주고 이로 인해서 두 판의 거리가 변하게 되는 것입니다. 거리의 변화는 전하량으로 전기적으로 변환하게 됩니다.
이를 외부에서 다시 전압으로 변환하여 mV/Pa로 사용자가 원하는 음압(Sound Pressure) 값을 얻게 됩니다.
'팜테크 제품 리뷰(Review) > GRAS(마이크로폰, Microphone)' 카테고리의 다른 글
| [Microphone]마이크로폰 기계적 설계와 주파수 응답(SDOF, Frequency Response) (0) | 2022.11.23 |
|---|---|
| [Microphone] 마이크로폰의 주파수 범위, 응답, 감도(Frequency Range, Response, Sensitivity) (0) | 2022.11.22 |
| [마이크로폰] 사운드필드 파라미터#1(음압, 소리세기, 입자속도) (0) | 2022.10.31 |
| [Microphone]자동차용 NVH 측정 방법과 센서 선택 (Automotive) (0) | 2021.12.29 |
| [Microphone]마이크로폰 측정시 고려 사항(Characteristics) (1) | 2021.12.22 |
Comments

